广西热作所在中科院二区SCI期刊发表咖啡品质分析的研究论文
近日,广西热作所联合中国热带农业科学院香料饮料研究所、云南德宏热带科学研究所在国际SCI期刊foods(中科院2区,IF=5.1)在线发表题为“HPLC/GC–MS and Electronic Sensing Reveal Tissue-Wide Differences in Bioactive and Flavor Compound Distribution in Coffee Fruits Across Multiple Varieties”的研究论文。该研究解析了云南、海南主要咖啡品种在营养与风味成分上的组织分布差异,为咖啡资源的高值化利用提供了科学依据。

图1 论文首页截图
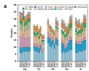
咖啡品质因品种而异,其加工副产物的生物活性价值未被充分发掘。研究对云南、海南7个咖啡品种的生咖啡豆和加工副产物(外皮、羊皮层、银皮层)的生物活性成分和风味特征进行解析。结果表明,生咖啡豆和咖啡外皮富含多酚类物质、咖啡因和葫芦巴碱。咖啡羊皮层可溶性糖含量较高(1.83 ~ 5.43%),而银皮层积累较多的绿原酸(3.58 ~ 4.69 mg/g)。通过分析,有三个咖啡品种的总酚、咖啡因和绿原酸含量相对突出。对咖啡生豆及副产物进行风味分析,共鉴定出11类挥发性化合物,以酯类、酮类、醇类和醛类为主。其中,有三个品种呈现出更为鲜明的风味特征。
该研究从不同咖啡组织层面明确了7个咖啡品种在生物活性物质和风味特征上的差异,不仅为优良咖啡品种的选育与推广、打造“中国瑰夏”高端咖啡品种提供了参考,也揭示了咖啡副产物在提取天然抗氧化剂与活性成分方面的潜力,有助于推动咖啡全产业链的高附加值综合利用。


图2 风味化合物堆叠图和韦恩图
广西热作所重点实验室冉露霞和戴小华为论文共同第一作者,广西热作所陈赶林研究员为通讯作者。本研究获得广西科技计划项目、国家现代农业产业技术体系广西特色水果产业创新团队首席专家专项等项目的资助。
热作所 冉露霞供稿/供图
一审一校:单 彬
二审二校:刘思朝
三审三校:覃剑峰






